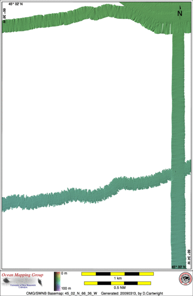
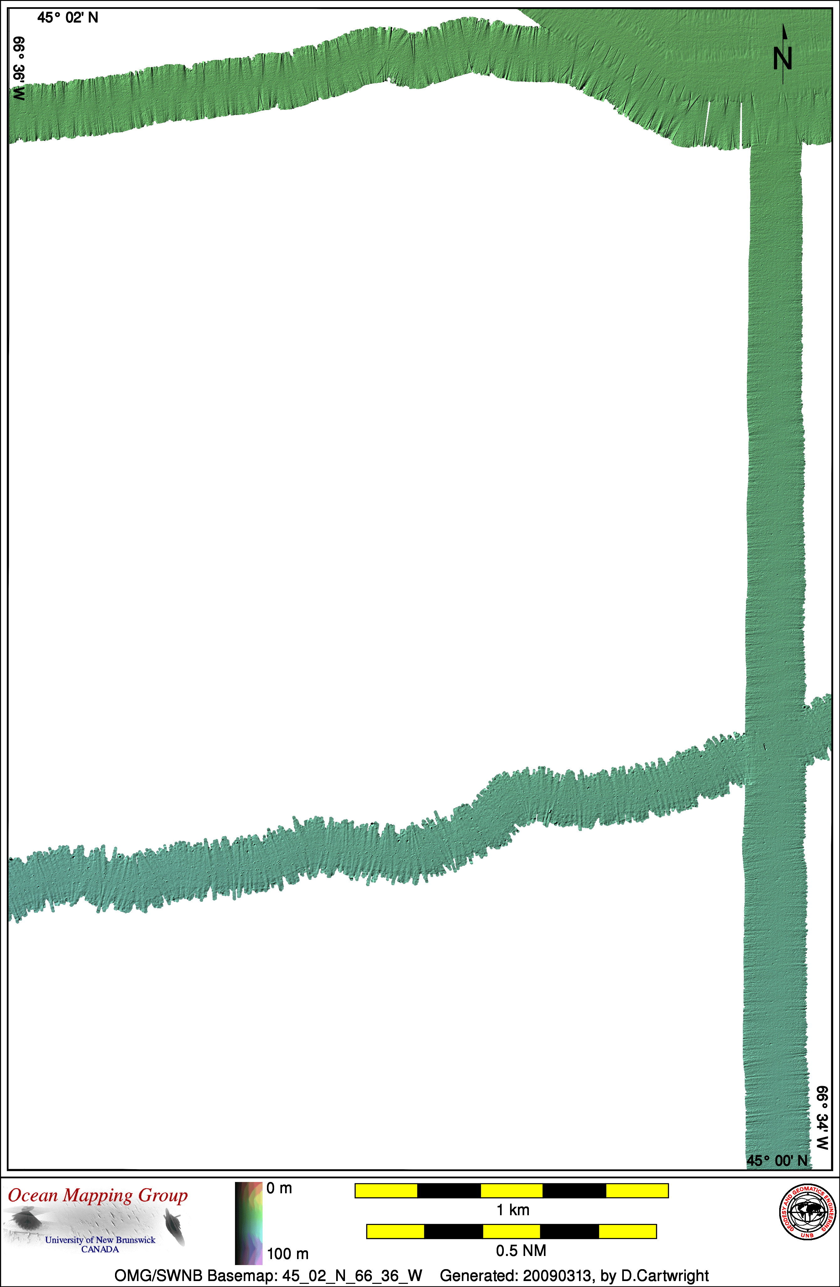
Southwest New Brunswick Basemap Series: 45_02_N_66_36_W


Overview Map

Index Map
45_10_N_66_40_W

Downloads
ESRI grid files for: This basemap
NW N NE
W E
SW S SE
BATHYMETRY    BACKSCATTER

Home... About these basemaps...

Source data

The basemap shown above is a blend of several sources of data. The coverage achieved by the contributing data sets is shown in the thumbnail images below. Links for individual ESRI grid files and metadata are available below the thumbnail for each source data set. Note that metadata links will open in a new window.

2005_Heron_Deer

ESRI grid  
2006_Heron_OAP

ESRI grid  
2008_Heron_OAP

ESRI grid  


Survey Lines for each area
Fri Mar 13 13:58:41 ADT 2009 Making combo map
Data from source: 2005_Heron_Deer
LINE - /drives/larsen/disk1/data/2005_Heron_Deer/EM3000/merged/jd158/0101_20050607_144634.merged - 1901 pings included



Data from source: 2006_Heron_OAP
LINE - /drives/larsen/disk1/data/2006_Heron_OAP/merged/JD195/0012_20060714_151856.merged - 1501 pings included
LINE - /drives/larsen/disk1/data/2006_Heron_OAP/merged/JD195/0015_20060714_164209.merged - 1101 pings included
LINE - /drives/larsen/disk1/data/2006_Heron_OAP/merged/JD195/0016_20060714_171225.merged - 601 pings included



Data from source: 2008_Heron_OAP
LINE - /drives/larsen/disk1/data/2008_Heron_OAP/em3002/merged/JD138/0000_20080517_133410.merged - 436 pings included
LINE - /drives/larsen/disk1/data/2008_Heron_OAP/em3002/merged/JD138/0001_20080517_140410.merged - 145 pings included
LINE - /drives/larsen/disk1/data/2008_Heron_OAP/em3002/merged/JD138/0002_20080517_140436.merged - 3101 pings included
LINE - /drives/larsen/disk1/data/2008_Heron_OAP/em3002/merged/JD146/0160_20080525_131718.merged - 4201 pings included




Created: 20090317 by D.Cartwright 45_10_N_66_32_W 45_08_N_66_38_W 45_08_N_66_36_W 45_08_N_66_34_W 45_08_N_66_32_W 45_06_N_66_40_W 45_06_N_66_38_W 45_06_N_66_36_W 45_06_N_66_34_W 45_06_N_66_32_W 45_04_N_66_40_W 45_04_N_66_38_W 45_04_N_66_36_W 45_04_N_66_34_W 45_04_N_66_32_W 45_02_N_66_40_W 45_02_N_66_38_W 45_02_N_66_36_W 45_02_N_66_34_W 45_02_N_66_32_W 44_40_N_66_50_W 44_40_N_67_00_W 44_50_N_66_50_W 44_50_N_67_00_W 45_00_N_66_50_W 45_00_N_67_00_W 45_00_N_67_10_W 45_10_N_66_00_W 45_10_N_66_10_W 45_10_N_66_20_W 45_10_N_66_30_W 45_10_N_66_40_W 45_10_N_66_50_W 45_10_N_67_00_W 45_10_N_67_10_W 45_20_N_66_00_W 45_20_N_66_10_W 45_20_N_66_20_W 45_00_N_66_30_W 45_00_N_66_40_W