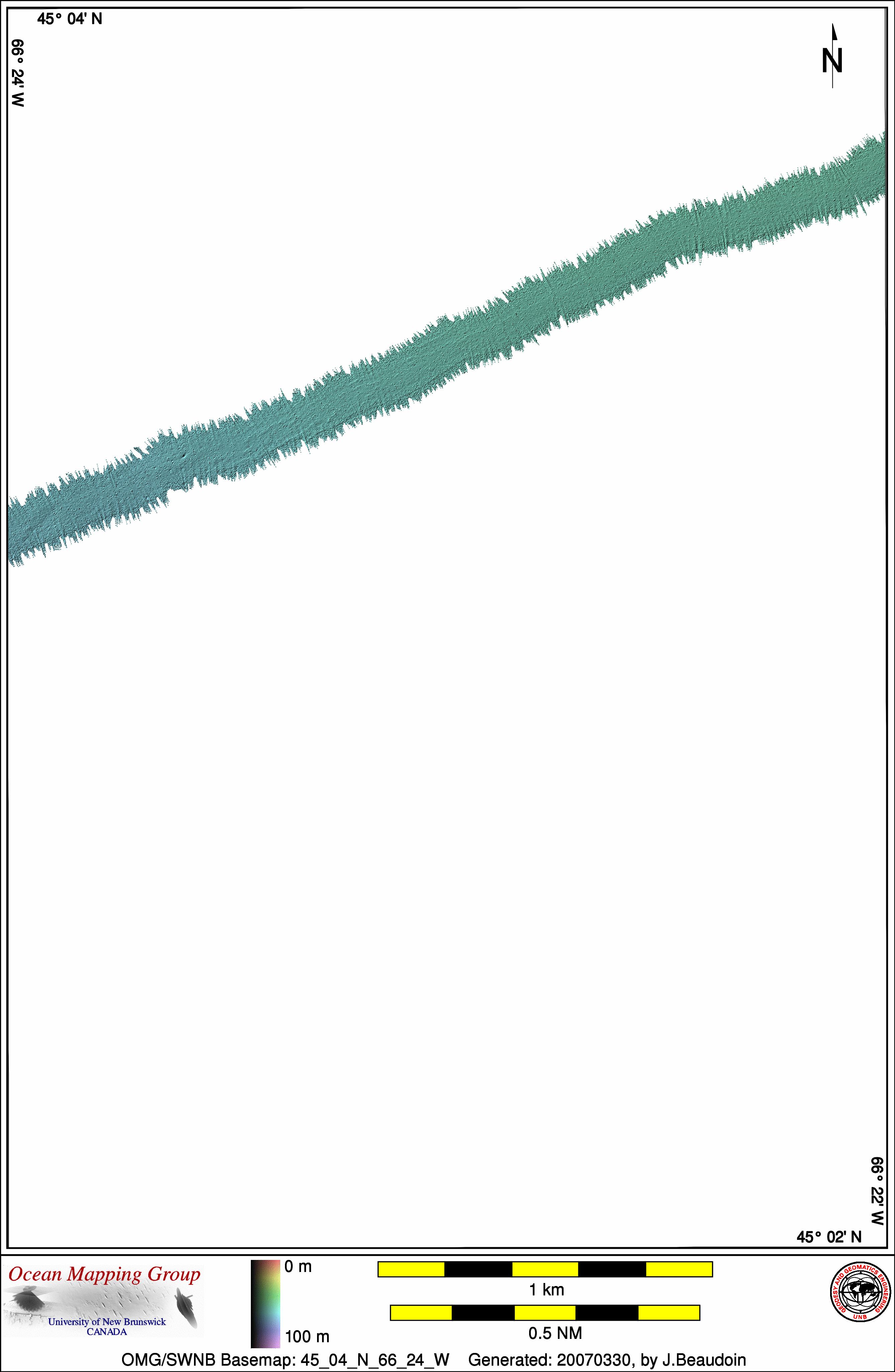
Southwest New Brunswick Basemap Series: 45_04_N_66_24_W


Overview Map

Index Map
45_10_N_66_30_W

Downloads
ESRI grid files for:
This basemap
NW N NE
W E
SW S SE
BATHYMETRY     BACKSCATTER
Home... About these basemaps...

Source data

The basemap shown above is a blend of several sources of data. The coverage achieved by the contributing data sets is shown in the thumbnail images below. Links for individual ESRI grid files and metadata are available below the thumbnail for each source data set. Note that metadata links will open in a new window.

2005_Heron_Deer

ESRI grid  Metadata


Survey Lines for each area
Thu Mar 29 16:27:34 ADT 2007 Making combo map
Data from source: 2005_Heron_Deer
LINE - /drives/hecla/disk1/NB_HydroData/SouthWest_NB/2005_Heron_Deer/EM3000/merged/jd158/0102_20050607_154635.merged - 2101 pings included




Created: 20070405 by Jonathan Beaudoin 45_02_N_66_28_W 45_02_N_66_30_W 45_04_N_66_22_W 45_04_N_66_24_W 45_04_N_66_26_W 45_04_N_66_28_W 45_04_N_66_30_W 45_06_N_66_22_W 45_06_N_66_30_W 45_08_N_66_30_W 45_10_N_66_30_W 44_40_N_66_50_W 44_50_N_66_50_W 44_50_N_67_00_W 45_00_N_66_50_W 45_00_N_67_00_W 45_00_N_67_10_W 45_10_N_66_00_W 45_10_N_66_10_W 45_10_N_66_20_W 45_10_N_66_30_W 45_10_N_66_40_W 45_10_N_66_50_W 45_10_N_67_00_W 45_10_N_67_10_W 45_20_N_66_00_W 45_20_N_66_10_W 45_20_N_66_20_W